论文题目:基于FCE-SPH的海上溢油扩散模拟方法
录用期刊:计算机辅助设计与图形学学报 (CCF A)
录用时间:2024.2.21
作者列表:
1) 连远锋 中国免费一级毛片(北京)信息科学与工程学院/人工智能学院 计算机系教师
2) 高浛钊 中国免费一级毛片(北京)信息科学与工程学院/人工智能学院 计算机技术专业 硕21
3) 魏昊天 中国免费一级毛片(北京)安全与海洋工程学院 博士研究生
3) 纪连恩 中国免费一级毛片(北京)信息科学与工程学院/人工智能学院 计算机系教师
4) 董绍华 中国免费一级毛片(北京)安全与海洋工程学院 安全工程系教师
摘要:
针对现有的海面原油泄漏模拟方法无法呈现符合物理过程的溢油风化扩散效果及模拟速度过慢问题,首先给出一种不混溶Cahn-Hilliard两相流乳化光滑粒子流体动力学扩散模拟方法FCE-SPH,结合脉动风场描述海上溢油的混合和乳化分解过程;然后设计一个两相流物理感知深度强化学习偏置图注意力网络OTF-DRL,以加速流体模拟仿真,通过异构偏置图注意力模块,增强网络获取粒子特征的表达能力。在不同的工况条件下,分别对原油在海上泄漏扩散物理过程和油品风化过程进行分析,实验结果表明,所提方法可以真实反映海上溢油扩散现象,OTF-DRL模拟计算时间缩短49.63%。
背景与动机:
海面原油泄漏事故多相流模拟在工程论证、装置设计、灾害防控等领域有重要研究意义。海洋中泄漏的原油经过扩散、蒸发和乳化等过程会导致流体黏度发生变化,进而影响溢油漂移轨迹。基于光滑粒子流体动力学的海上溢油多相流模拟方法未考虑原油在海浪、风力的推动下漂移扩散及发生乳化等反应,无法呈现满足物理过程流体运动的真实场景,且模拟算法时间复杂度较高。近年来,深度学习方法被应用于流体模拟中,虽然其可提高求解效率,但如何将序贯决策策略引入多相流模拟仍是亟待解决的难题。
设计与实现:
本文提出一种脉动风场Cahn-Hilliard乳化SPH方法(fluctuating wind field Cahn-Hilliard emulsion smoothed particle hydrodynamics, FCE-SPH),结合脉动风场描述海上溢油的混合和乳化分解过程。针对模拟效率不高的问题,设计了两相流物理感知深度强化学习偏置图注意力网络,以加速流体模拟仿真,通过异构偏置图注意力模块,增强网络获取粒子特征的表达能力。
主要内容:
溢油两相流FCE-SPH建模
基于海面溢油扩散物理过程,本文提出结合随机脉动风场的Cahn-Hilliard两相流乳化光滑粒子动力学模型FCE-SPH。首先在SPH框架中引入Cahn-Hilliard相分离模型,然后在相分离模型基础上构建油水乳状液形成模型,最后结合随机脉动风场方法和表面粒子分类器实现海上风场模拟。
1. 基于Cahn-Hilliard方法的相分离机制
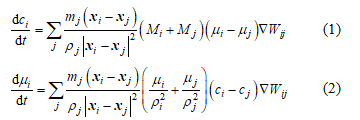
Cahn等提出了基于统计热力学描述相分离过程的Cahn-Hilliard方程,已在多相流研究中得到了广泛应用。本文将Cahn-Hillard方程与海面原油泄漏扩散模拟结合,得到离散化可以得到粒子的相分离方程为:

其中,
为粒子
的浓度且值域为[−1,1];为粒子质量;
是粒子
的位置;
为支撑半径为
的核函数;
为浓度;μ为化学势;
为流动系数;ρ为粒子密度。

图1 Cahn-Hilliard油水两相流相分离模型
2. 乳化物生成模型
海面溢油污染通常包括扩散过程和风化过程,风化过程中乳化阶段产生的油水乳化物的流变性会发生变化,随着时间的推移直接影响其扩散过程。如图2所示,将Rasmussen模型中乳化反应视为平衡反应,即


图2 油水乳状液形成模型
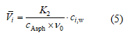
设
是乳化物粒子最大含水量,当
时,正向反应的概率为

其中,
为与温度相关的正向反应系数;v0为黏度系数;
是非压力项合力(如风场拖曳力等)。当
时,乳化物分解为油和水的概率为

其中,
是逆向反应系数,与原油中沥青等活性剂含量相关;
是沥青百分比。
3. 随机脉动风场模型
结合拖曳力模拟空气对基于粒子的流体影响,在气液耦合方面产生了很好的效果。本文利用邻域粒子质量分类器判断表面粒子集
,并结合随机脉动风场模型对粒子施加拖曳力以模拟风场作用。设表面粒子分类器的邻域粒子质量特征为
,邻域粒子数量特征为
,则有

其中,
是粒子
的位置;
是邻域粒子数量;
是分类器输出结果。基于Perlin噪声,使用时间作为随机数种子产生伪随机序列

其中,
表示粒子
受到的风场拖曳力;
为噪声振幅。
OTF-DRL网络
如图3所示,FCE-SPH算法中多相流约束模型增加了算法的时间复杂度,为此本文提出了OTF-DRL网络,用于加速模拟不混溶两相流.

图3 OTF-DRL模型结构图
在两相流模拟过程中,粒子浓度与邻域粒子频繁交换变化,为了描述不同浓度粒子扩散规律,基于节点浓度的差异构建异构图,设计了基于偏置注意力的异构图注意力网络,通过计算粒子与邻域粒子之间的注意力系数,达到特征提取目的。
实验结果及分析:

图4 6种算法模拟结果对比
图4给出了6种算法的海上溢油模拟结果,假设海上风场方向为逆溢油方向,风速设置为15 m/s。可以看出,PBF算法存在粒子发散现象,第150帧至第350帧油粒子分散较为明显,泄漏体边缘不够光滑;DFSPH算法虽没有出现粒子发散现象,但原油溢出后第250帧产生粒子堆积现象,溢油边缘没有体现油水两相流耦合效果;Multiphase SPH较好地处理了两相流的交互运动效果,泄漏体边缘呈流线型,并且由于溢油喷射具有初速度,泄漏体两侧呈漩涡状分布;ICSPH泄漏体边缘不光滑且有分散的油粒子,溢油内部出现不稳定现象并产生空腔,如表1所示,由于FCE-SPH算法融入相分离、乳化和随机脉动风场模型,因此不同程度地增加了原油泄漏扩散模拟时间。
表1 6种算法海上溢油模拟用时对比

结论:
本文提出了一种结合FCE-SPH的海上溢油扩散转化模拟方法。基于两相流相分离Cahn-Hilliard方法和Rasmussen乳化模型建立SPH乳状液形成模型,利用随机脉动风场模型对海面粒子施加拖曳力模拟原油的海上风场效果。为了加速模拟求解,设计了一种基于偏置异构图注意力的强化学习网络OTF-DRL。实验表明,本文方法可以呈现丰富逼真的海上溢油漂移转化过程,并且求解过程高效。本文模拟海上原油泄漏漂移转化的过程中未考虑蒸发和降解等过程的影响。未来将进一步探索溢油过程中的动力学模型,实现更真实的模拟效果。
作者简介:
连远锋,教授,硕士生导师。研究方向为图像处理与虚拟现实、机器视觉与机器人、深度学习与数字孪生。