论文原标题:Full cycle dynamic optimisation maintaining the operation margin of acetylene hydrogenation fixed-bed reactor
作者:谢府命(自动化系博15级);许锋;梁志珊;罗雄麟
发表期刊:Journal of the Taiwan Institute of Chemical Engineers
录用时间:2020.1.18
原文链接:http://doi.org/10.1016/j.jtice.2020.01.008
乙炔加氢反应器是乙烯工业中的重要环节,其运行很大程度上影响乙烯产品的产量和纯度。乙炔加氢反应器中催化剂活性具有慢时变特性,它会随着时间的推移缓慢的发生变化,使得在一个运行周期内乙烯装置的性能持续缓慢下降,最后必须要停止运行,进行催化再生。本文使用了一种更为严格的乙炔加氢反应器慢时变催化剂失活模型。在失活模型中,采用控制向量参数化的方法实现了以在一定的再生周期中最大整体经济效益或最长再生周期为目标的长时间尺度的动态优化(运行周期几个月甚至一年)。然而,这样的优化在实际生产中难以被广泛应用,其原因是该优化模型并未考虑到控制器和不确定扰动的影响,优化难以达到预期的效果。为了在满足实际运行的需求的基础上,实现最优的生产目标,本文设计了裕量估计模型,在线估计一个再生周期的操作裕量消耗。进一步地,在保证安全的操作裕量的前提下,提出了一种长时间尺度的动态优化方案,从而在保证足够可靠的运行空间的前提下,获得最大的整体经济效益或最长的再生周期的长周期运行优化方案。
慢时变系统是一种系统中的参数会随时间推移缓慢变化从而使得系统缓慢发生改变的时变系统。慢时变系统与普通时变系统的不同之处在于,它的时变相对于系统的动态响应而言十分缓慢,在研究系统的局部的短期的动态特性时可以忽略它的影响。但是,它在系统长时间运行中会对系统产生无法忽视的影响,在处理长周期的整体问题时要考虑它对系统的作用。慢时变特性常表现在长时间运行的化工过程中,如固定床反应器的催化剂失活、换热器的结垢老化,催化剂活性和结垢热阻均为慢时变参数,化工装置的一个运行周期内慢时变参数的缓慢变化造成化工装置的性能逐渐下降。为此,过程设计时需要对设计变量留出足够的裕量,使操作点与过程约束之间存在足够的距离。在一个运行周期内通过操作逐渐释放设计裕量,补偿慢时变参数的不利影响。
由于过程的不确定性,在设计阶段,常在设计变量中加入的一定的富余量,这部分我们称之为设计裕量。设计裕量由工艺裕量和控制裕量两部分组成。工艺裕量是为了补偿慢时变参数变化的影响而设计的,控制裕量是为了满足操作和控制的需要而设计的。在化工过程的设计阶段,必须为设计变量添加足够的裕量,使工作点与工艺约束之间有足够的距离,以防止不确定性“变坏”后过程变量超出工艺约束。但设计裕量通常是根据各种不确定性的最坏影响来确定的,而慢时变参数从初始状态到“最坏”的变化是一个缓慢的动态过程,因此裕量消耗是一个受慢时变不确定因素和不可测干扰影响的长期动态过程。如图4.1所示,随着时间的推移,所需的过程裕量会逐渐增大,控制裕量在一定范围内波动,剩余裕量逐渐减少至0,在整个周期的最后,工艺裕量和控制裕量之和等于设计裕量。

图1 全周期内的裕量消耗
Fig. 1 Margin consumption of full cycle.
为了保证慢时变系统和快时变系统同时运行,我们提出了双层的集成控制优化框架。慢时变系统的时间变量
,时间单位为day。为了获得关于时间
的催化剂活性,考虑到系统中有两个时间尺度,分别是长时间尺度变量
和短时间尺度变量t,应分别对催化剂失活的反应速率进行积分,如式(1)所示。
(1)
但考虑到计算的复杂性,忽略单日内绿油累积造成的失活影响(实际影响很微小),将式(1)简化为式(2)。
(2)
快时变系统接收优化后的操作变量u,并通过控制器保持反应器的稳定运行。相应地,当控制器在稳态下运行快时变系统时,控制器将
所表示的稳态变量上传到慢时变系统中。此外,涉及到裕量部分时,快时变系统的状态变量通过在线的裕量估计器,估计出相应的控制裕量和工艺裕量,再由优化器得到保证一定操作裕量的最优的优化变量。总体结构如图1所示。

图1 慢时变系统的结构图
Fig. 1 Structure of slowly-time-varying system
为了简化动态优化的计算,还需要将乙炔加氢反应器的分布式参数系统转化为等效的集总系统。本文采用空间离散化的方法,将径向和轴向离散化,分别用
表示的径向和轴向区间数,如式(3)所示,从而得到更易于求解的动态优化模型。
(3)
此外,定义
为催化剂再生周期,快时变系统中的动态和稳态变量
表示为
(4)
控制向量参数化(CVP)是一种典型的动态优化的数值解法,它将整个过程的时间划分为若干个时间区间。现将再生周期划按CVP方法划分为若干个时间区间,如式(5)所示。
(5)
N是时间间隔数,决定了CVP方法的参数化程度。离散优化变量如式(6)所示。
(6)
表示
在区间
的轨迹,其值在区间内为一常值。快时变系统,包含机理模型和控制系统模型的方程表示为h(▪),如式(7)所示
(7)
通过CVP,将优化变量转换为一组参数。也就是说,将原来的动态优化问题转化为稳态优化问题,即静态的非线性规划(NLP)问题。静态优化是对原动态优化问题的近似,当N趋于无穷大时,两者的结果是相等的,但N的增大会导致计算量的增加。
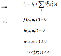
接下来,我们可以构造一个描述操作点与约束边界之间距离的函数,定义为裕量消耗函数。基于乙炔加氢反应器经济效益的目标函数J1,引入裕量消耗函数,得到考虑裕量消耗的动态优化模型如下:

为裕量转换因子;
为裕量消耗函数。根据控制裕量在线的优化结果,我们可以在线估计出第
天的控制裕量和工艺裕量,进而可以求得控制裕量和工艺裕量影响所造成的经济效益下降量,两者之和等价于第
天的经济效益最小损耗,再代入模型中求解动态优化问题,就可以求得全周期的裕量缓释操作优化。
许锋副教授,博士,科研工作涉及控制理论及应用、生产过程的先进控制与优化、化工过程的流程模拟与分析、过程控制与工艺设计一体化研究等,长期从事炼油化工过程软测量与先进控制、流程模拟与实时优化等技术开发与工程应用工作中国免费一级毛片(北京)副教授、硕士生导师、北京自动化学会理事。