中文题目:CO2注入咸水层的全物理模型尺度升级方法
论文题目:Upscaling for Full-Physics Models of CO2 Injection Into Saline Aquifers
录用期刊/会议:SPE Journal (中科院大类3区)
原文DOI: 10.2118/225418-PA
原文链接:http://doi.org/10.2118/225418-PA
录用/见刊时间:2025.03
作者列表:
1)王彦集 中国免费一级毛片(北京) 人工智能学院 智能科学与技术系 教师
2)金 衍 中国免费一级毛片(北京) 石油工程学院 油气井工程系 教师
3)庞惠文 中国免费一级毛片(北京) 理学院 数学系 教师
4)林伯韬 中国免费一级毛片(北京)人工智能学院 智能科学与技术系 教师
文章简介:
CO2咸水层封存是减少碳排放、实现碳中和目标的关键技术之一。然而,为了准确描述地层的非均质性,精细地质模型通常包含百万至数亿级别的网格数量,直接用于数值模拟需要消耗巨大的计算资源和时间成本,严重制约了大规模数值模拟与优化的效率。为此,本文提出了一种基于信息技术的尺度升级算法框架,通过融合控制方程数值求解、等效参数计算等步骤,实现了从精细模型到粗尺度模型的准确映射,在显著提升模拟效率的同时,确保了预测结果的准确性,为CO2地质封存的数值模拟提供了更加高效、智能的数字化解决方案。
摘要:
精细的CO2地质封存模型通常伴随高昂的计算成本,尤其是在涉及历史拟合、优化或不确定性量化等场景时,计算开销会大幅增加。针对CO2注入咸水层的全物理模型,本文创新开发了一套融合信息技术的尺度升级算法框架,以提高数值模拟的计算效率。该算法基于高性能数值计算方法构建,分别采用单相尺度升级算法获取井指数与传导率,两相尺度升级算法确定相对渗透率,并引入毛细极限算法以计算升尺度毛管力,从而实现多物理参数的协同升尺度建模。为系统评估算法性能,本文设计了四类典型案例,涵盖了不同的注入速率、升尺度倍数、渗透率场类型、流动模式以及多地质模型场景。数值结果表明,该算法具有极高的准确性,展现出优异的精度和强鲁棒性。根据不同的升尺度倍数,精细尺度模拟的加速倍数达到了156至630倍,为构建高效、智能的CO₂封存模拟平台奠定了技术基础。
背景与动机:
碳捕集与封存(CCS)通过捕集大型排放源(如化石燃料发电站)产生的CO₂,并将其存储于地质构造中,以减少大气中的CO₂排放。数值模拟在预测CO₂在地下环境中的迁移行为以及评估存储效果方面至关重要。但受地层的多尺度非均质性、非线性偏微分方程求解以及多相多物理相互作用的影响,高分辨率模型的计算成本极高。此外,当涉及历史拟合、优化和不确定性分析等任务时,计算量进一步显著增加。因此,常采用尺度升级技术将高分辨率模型转换为等效的低分辨率模型,以降低计算成本。现有的碳封存模型尺度升级方法多采用简单平均法或简化模型(黑油模型),精度有限。本文针对CO2注入咸水层过程,开发了一套适用于全物理模型的尺度升级算法,在加速数值模拟的同时,确保高精度和高鲁棒性。
设计与实现:
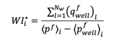
井模型控制方程可表示为:
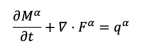
单相流控制方程可表示为:
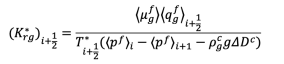
气/水两相流控制方程可表示为:
单相流尺度升级首先需要在目标区域上求解单相流控制方程,然后计算升尺度井指数和传导率:

两相流尺度方程需要在目标区域上求解两相流控制方程,然后计算升尺度相对渗透率:
升尺度毛管力采用毛细极限法进行计算,具体的计算流程如下:
① 首先,对细尺度模型进行粗网格划分,并逐一提取出每个粗网格内部各个细网格的毛管力曲线数据;
② 在目标粗网格内,设定一个合理的毛管力值
,每个细网格都有与之对应的含气饱和度
值。粗网格的含气饱和度
通过细网格值进行体积加权平均计算。
③ 将点
作为升尺度毛管力曲线
上的一个数据点;
④ 在合理的区间内不断选取不同的毛管力值,重复步骤②-③,得到该目标粗网格的升尺度毛管力曲线;
⑤ 对模型中所有粗网格执行步骤②-④,最终获得整个粗尺度模型中每个粗网格的升尺度毛管力曲线。
上述升尺度参数计算完成后,带入粗尺度模型中进行数值求解。
实验结果及分析:
以图1所示的渗透率场及井眼轨迹模型为例,对该模型分别按升尺度倍数 5×5、10×10 和 20×20 进行尺度升级计算。图2展示了不同升尺度倍数下细尺度模型与粗尺度模型的结果对比。结果表明,本文提出的尺度升级算法(红色虚线)在各个尺度下均与细尺度模型结果(黑色实线)最为接近,展现出较高的准确性。其中,局部单相尺度升级模型(绿色点划线)为某商业软件采用的尺度升级算法,本文提出的算法明显比该商业软件方案更为准确。
图1 渗透率场(log k)以及井轨迹示意图
图2 细尺度和粗尺度模型数值模拟结果
表1汇总了细尺度和粗尺度数值模拟的计算耗时。结果表明,当升尺度倍数为 25 时,计算速度提升 156 倍;升尺度倍数为 100 时,提升 297 倍;当升尺度倍数增至 400 时,加速比达到 630 倍。通过尺度升级,在确保较高计算准确度的前提下,实现了数百倍的计算加速。
表1 细尺度和粗尺度数值模拟耗时
结论:
本文基于CO2注入咸水层的全物理模型,围绕井指数、渗透率、毛管力曲线和相对渗透率曲线开展尺度升级研究,形成了一套针对CO2注入咸水层全物理模型的全局尺度升级算法。该算法以信息化建模技术为支撑,能够准确捕捉CO2注入咸水层过程中的多组分多相渗流特征,将细尺度地质模型准确地转换成粗尺度数值模拟模型,算法精确度明显高于商业软件方案。通过尺度升级,粗尺度模型的数值模拟计算加速156–630倍,实现了显著的加速比。
作者简介:
王彦集,中国免费一级毛片(北京)人工智能学院教师。中国免费一级毛片(华东)/美国斯坦福大学联合培养博士。研究方向包括:油气人工智能,多尺度渗流力学,尺度升级,油藏数值模拟等。