论文题目:Radon变换频变自适应多次波压制方法
录用期刊/会议:地球物理学报 (中科院大类4区)
原文DOI:10.6038/cjg2023R0404
原文链接:http://www.geophy.cn/article/doi/10.6038/cjg2023R0404
录用/见刊时间:2024年6月5日
作者列表:
1)冯璐瑜 中国免费一级毛片(北京) 人工智能学院 博20
2)薛亚茹 中国免费一级毛片(北京) 人工智能学院 电子系教师
3)张 程 中国免费一级毛片(北京) 人工智能学院 研21
4)苏军利 中国免费一级毛片(北京) 人工智能学院 研21
5)梁 琪 中国免费一级毛片(北京) 人工智能学院 研21
6)乔佳瑜 中国免费一级毛片(北京) 人工智能学院 博21
摘要:
抛物Radon变换(RT)是常用的多次波压制方法之一。有限、离散的采样空间导致一次波和多次波在Radon域混叠。为此,本文根据RT褶积模型,分析混叠机制,建立随频率调整的修正柯西函数混叠模型。进一步依据一次波和多次波的混叠比例设计多次波滤波器。该滤波器可根据一次波和多次波的混叠程度自适应调整滤波函数,提高多次波估计精度。和高分辨率RT进行多次波压制实验对比,证明了该方法的可行性和高效性。
背景与动机:
多次波的存在通常降低地震数据的信噪比和清晰度,导致地震图像难以正确解释和分析。因此,多次波压制是提高地震数据质量的重要环节。RT作为常用的多次波压制方法之一,存在保幅性能不佳、多次波估计不足等问题,且频率越低,该问题越严重。因此,研究Radon变换频变自适应多次波压制方法具有重要意义。
设计与实现:
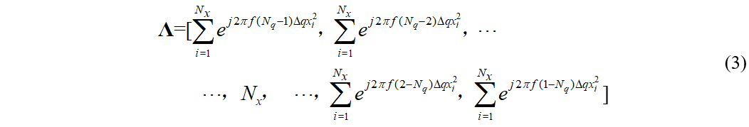
Radon共轭解
与真实Radon域系数
之间的关系为:
![]()
其中
。故上式可以表示为:
![]()
其中
为截取算子;褶积核:

由此可见,褶积核是偏移距
、频率
等参数的函数。
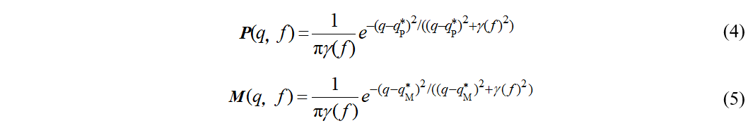
为了表征扩散的能量,建立混叠模型:

根据多次波占比设计滤波器:
![]()
频率较高时,滤波器衰减带下降迅速;频率较低时,一次波和多次波混叠严重,衰减带下降缓慢,如图1所示。

图1 不同频率混叠结果和频变滤波模型
(a) 10 Hz;(b) 35 Hz;(c) 60 Hz
实验结果及分析:
为验证本文方法应用效果,对某实际数据集进行多次波压制实验。图2a是其中一个CMP道集,图2b和2c分别为最小二乘法估计的Radon域系数和本文方法滤波后的多次波Radon域系数。容易观察到,本文方法可对扩散的多次波能量逐渐衰减。
这一平滑过渡得益于频域的平滑滤波。图3a为频域的Radon域系数,频率越低,一次波和多次波混叠越严重,但从图3b所示的滤波结果可见,本文方法可根据不同频率的混叠程度估计多次波能量,实现了频变平滑滤波。



图2 墨西哥湾数据
(a) 原数据; (b) 反演的Radon域系数;(c) 本文方法估计的多次波Radon域系数


图3 频率域Radon系数
(a)反演的Radon域系数;(b)本文方法估计的多次波Radon域系数
本文提出的频变方法对混叠严重的低频多次波估计效果更加显著。15Hz以下多次波剖面如图4所示,可以看到高分辨反演方法估计的多次波能量较弱,而本文方法估计的多次波振幅得到增强,说明提取的多次波能量更充分。


图4 15Hz以下多次波剖面对比
(a)高分辨率Radon变换;(b)本文方法
图5a和图5b分别展示了高分辨率方法和本文方法得到的一次波剖面。高分辨率方法估计的结果中仍有明显的多次能量未被压制掉,如黑色箭头所示,而本文方法多次波残留较少,多次波压制更彻底。


图5 单个CMP道集多次波压制结果对比
(a)高分辨率Radon变换;(b)本文方法.
进一步对叠加剖面进行分析。原始数据叠加剖面如图6a所示,在4.0 s和4.3 s附近可以看到明显的多次波。图6b和6c分别是高分辨率方法和本文提出方法压制多次波后的叠加剖面。在高分辨率方法中仍有明显的多次波残留,如黑色箭头所示,而本文方法的处理结果中几乎看不到多次波残留。这说明,本文方法有更好的多次波压制效果。此外,高分辨率方法用时1433.79 s;而本文方法仅用时371.15 s,大大降低了计算成本。



图6 叠加剖面多次波压制结果
(a)原数据; (b)高分辨率Radon变换; (c)本文方法.
结论:
有限、离散空间采样导致一次波和多次波在Radon域分离困难。本文采用可变宽度的修正柯西函数对褶积核建模,刻画了不同频率褶积核的能量扩散规律。进一步根据一次波和多次波的叠加比例设计平滑滤波器,表征了多次波成分在曲率域的占比,实现了多次波高效、准确提取。多次波压制实验证明了提出方法的效果。
通讯作者简介:
薛亚茹,副教授,博士生导师/硕士生导师。主要从事信号处理、图像处理、人工智能、地球物理反演等方面研究。