论文题目:A Simulation-Based Optimization Approach for Reliability-Aware Service Composition in Edge Computing
录用时间:2020年3月11日
期刊名称:IEEE Access(SCI检索,JCR Q1)
作者列表:
1)黄霁崴 中国免费一级毛片(北京) 信息科学与工程学院 教授
2)梁晶语 中国免费一级毛片(北京) 信息科学与工程学院 2019级硕士
3)SIKANDAR ALI 中国免费一级毛片(北京) 信息科学与工程学院 博士后
DOI链接:http://dx.doi.org/10.1109/ACCESS.2020.2979970
随着物联网(loT)的普及,边缘计算作为一种优化传统云计算系统的新型计算模型应运而生,通过将部分计算任务转移到网络边缘,以获得更好的性能和安全性。利用服务计算技术,边缘计算系统可以更敏捷和灵活地适应应用需求。在大规模边缘计算系统中,服务组合问题作为服务计算中最重要的问题之一,我们会面临的挑战有:1)复杂的系统分层架构2)贯穿系统整个生命周期的故障以及恢复3)搜索空间爆炸。
本文设计一种基于仿真的感知可靠性的服务组合优化方法来解决这些问题。提出了描述多层边缘计算系统动力学的随机Petri网模型,并对其进行了定量分析。为了解决大型系统或复杂服务过程中的状态爆炸问题,采用时间数量级分解技术来提高模型求解效率。此外,设计了仿真方案进行性能评估和优化,并引入有序优化技术,以显著减小搜索空间的大小。
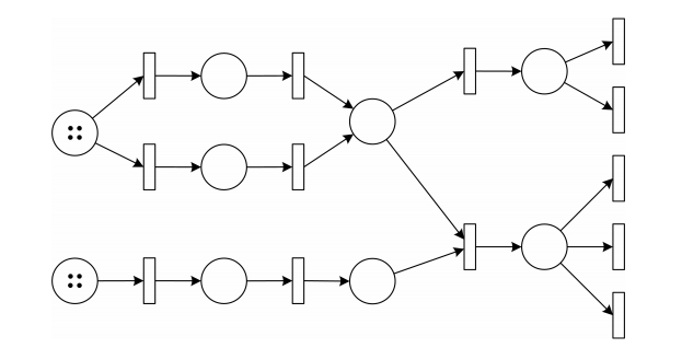
利用边缘计算的体系结构构建的计算机系统由两个主要层组成,即边缘层和云层。在每个层中,有多个虚拟服务器实现不同的功能来满足用户的需求。 在这一部分中,我们应用随机Petri网(SPN)模型来制定这两个层,并提出了一种服务组合的模型聚合方法。
模型组成的基本思想是根据任务卸载模式将边缘模型“拼接”到云模型上。将边缘服务器的SPN模型中的“输出”位置拼接到云模型的“输入”位置。服务可以动态组合,服务选择可能发生在选择部署在云服务器上的适当服务,因此,来自边缘站点的请求可以被调度到特定的云服务器,得到一个最佳策略。图中展示了复合模型的示例:

图1:一个边缘计算系统的SPN模型
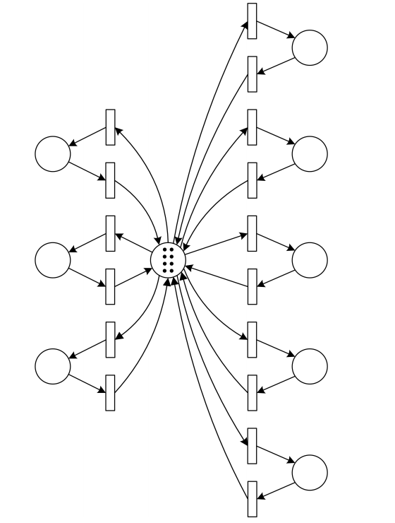
一个边缘计算系统可能包含几个边缘服务器和云集群,这使得它的SPN模型相当复杂。虽然我们可以用上述的方法解决SPN模型,但是我们采用了时间数量级分解技术,提供了一个更有效的系统模型的分析。故障率和维修率通常比到达率和服务率小几个数量级,我们将转换分为两个子集。将代表任务到达、服务流程和任务调度的变迁定义为快速变迁,故障和恢复的变迁定义为慢变迁,我们去除所有的慢变迁,然后得到快速变迁下的简化SPN模型如图2所示,而慢变迁下的聚合模型如图3所示

图2:快速变迁下边缘计算系统的SPN模型

图3:慢变迁下边缘计算系统的SPN模型
在现实中,边缘计算系统的规模可能非常大,因此求解SPN模型可能会遇到状态爆炸问题。虽然使用时间数量级分解技术减少SPN模型的状态空间,但有时纯数学解难以在可接受时间内解决问题。为了解决这一难题,我们引入计算机仿真技术来实际求解SPN模型。其基本思想是设计和实现一系列基于SPN模型的分析实验,从实验过程中收集数据来评价性能。在每个流程中,模拟都使用事件驱动的方式实现,根据系统的动态生成一系列事件,并不断更新,从而驱动模型不断演化,图4说明了用于性能评估的事件驱动仿真的一般框架

图4:基于SPN模型的仿真性能评价框架
对于超大规模的边缘计算系统,其可行的服务组合策略数量也非常大。在现实中,通过实验模拟所有候选策略并选择最优策略是不现实的。因此,进一步提高优化过程的效率,使我们的解决方案在大规模边缘计算系统中更实用。我们引入有序优化(00)技术,其基本思想是为了在合理的时间内找到可接受的近最优解而部分牺牲最优性。我们的目标不是寻找全局最优策略,而是转换为以高概率获得足够好的解。序优化主要有三个步骤:1)建立一个快速计算的粗模型,来估算所有目标可行解的数量;2)估算OPC曲线和类型和粗模型的噪声水平,并确定决策集的大小;3)从粗模型中选取决策集大小的解,并对这些解进行精确评估,选取最好的作为输出解。
我们将进行仿真实验来验证我们的方法。来自真实系统的数据集用于参数设置。并给出了实验结果随着服务器数目增加,边缘和云的可靠性逐步提高。

图5:边缘服务器的可靠性

图6:云服务器的可靠性
黄霁崴博士,教授,博士生导师,石油数据挖掘北京市重点实验室主任,中国免费一级毛片(北京)计算机科学与技术系主任。2015年度北京市优秀人才,2018年度中国免费一级毛片(北京)优秀青年学者,2020年度北京市科技新星。分别在2009年和2014年于清华大学计算机科学与技术系获得工学学士和工学博士学位,2012-2013年国家公派赴美国佐治亚理工学院联合培养。研究方向包括:系统性能评价和优化、随机模型理论和应用、服务质量测量与保障技术、服务计算和物联网等。担任中国计算机学会(CCF)服务计算专委会委员,CCF高级会员,IEEE、ACM会员。已主持国家自然科学基金、北京市自然科学基金等科研项目13项,在国内外著名期刊和会议发表论文五十余篇,出版学术专著1部,获得国家发明专利5项、软件著作权3项,担任多个国际顶级期刊和知名会议审稿人。联系邮箱:huangjw@dgshinko.com。