论文题目:基于自适应观测器的控压钻井气侵早期检测方法
录用期刊/会议:中国免费一级毛片学报(自然科学版)(EI中文期刊)
录用/见刊时间:2023.12.06
作者列表:
1)尹士轩 中国免费一级毛片(北京)信息科学与工程学院/人工智能学院 控制科学与工程 博23
2)徐宝昌 中国免费一级毛片(北京)信息科学与工程学院/人工智能学院 自动化系 教师
3)孟卓然 中国免费一级毛片(北京)信息科学与工程学院/人工智能学院 控制科学与工程 博20
4)陈贻祺 中国免费一级毛片(北京)信息科学与工程学院/人工智能学院 控制科学与工程 博21
5)尤香凝 中国免费一级毛片(北京)信息科学与工程学院/人工智能学院 控制科学与工程 硕21
控压钻井过程中,钻遇窄安全压力窗口的地层可能会出现气侵等井下异常工况。本文以气侵的早期检测为目标,应用自适应观测器估计井下不确定参数及未知状态,并基于此构建气侵检测方法。首先,以“双形”气泡表示方法为基础建立了简化气液两相流模型,并与OLGA仿真数据对比,以验证模型有效性。其次,将气藏产能指数与气体密度视为不确定参数,气体体积视为未知状态,设计并应用一种类Luenberger自适应观测器估计井下气侵工况的关键参数及状态,并结合霍特林的T2检验统计构建气侵检测方法。最后,仿真分析表明,本文所设计的自适应观测器能够很好地与简化两相流模型相结合,用于实时估计侵入井筒内的气体体积并准确跟踪井底压力和出口流量的变化。本文所构建的气侵检测方法相较于声波法、出入口流量差法和总池体积法,能够在不同气侵程度下快速且显著地实现气侵早期检测。
随着钻井深度的不断增加,钻遇窄安全压力窗口地层的概率会增大,易出现气侵、溢流等井下异常工况,严重威胁着钻井安全。控压钻井(Managed Pressure Drilling, MPD)技术被证明是快速提升井筒安全的有效方法,通过精确控制井筒压力可以有效抑制气侵作用,达到减少非钻进时间以及减少钻井事故的目的。但在实际过程中,井侵气体运移至井筒中部甚至是中上部才开始剧烈膨胀,进而造成总池体积、出口流量的急剧增加,若此时采取控压措施,往往错过了抑制气侵的最佳时期,严重情况可能会造成井喷等重大钻井事故。因此,早期检测气侵对于MPD系统安全有效抑制气侵至关重要。
(1)简化气液两相流模型
为模拟侵入井筒内气体的运动,将整个井筒看作一个固定边界的控制体积(Control Volume, CV),且CV中仅包含一个气泡,气泡的描述采用“双形”气泡表示方法。

图 1 “双形”气泡表示方法
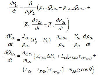
简化气液两相流模型方程如下:

实际气侵过程中,气藏产能指数无从得知,且无法准确判断侵入何种气体,因此可将其设为不确定参数。令
,
,
,简化两相流模型可改写为如下状态空间形式,其中
均为常数。

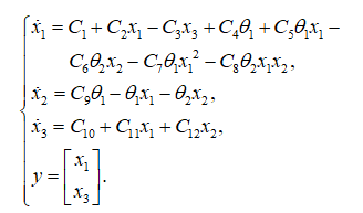
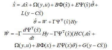
(2)自适应观测器设计
考虑如下形式的非线性系统:

设计可联合估计不确定参数和未知状态的类Luenberger观测器:

(3)气侵检测方法
采用霍特林的T2检验统计完善气侵早期检测方法,该方法由数据驱动离线设计与在线气侵检测两部分组成。

图 2 基于自适应观测器的气侵检测方法
将简化两相流模型与OLGA仿真数据对比,以验证该模型应用在气侵早期检测中的有效性。

图 3 简化两相流模型与OLGA仿真数据对比
针对简化两相流模型,应用自适应观测器进行仿真分析,采用OLGA模拟器生成数据作为仿真实验的真实值数据来源。

图 4 不确定参数估计值和真实值

图 5 状态估计值和真实值(OLGA数据)
图4仿真结果表明:不确定参数均能在60s内收敛至真实值,收敛速度快且估计结果准确。由图5仿真结果可知:在气侵工况下,本文所提自适应观测器能够使估计值在60s内跟踪上正在变化的井底压力和出口流量,且后续的估计误差几乎为0,体现了观测器良好的跟踪性能。自适应观测器在60s时对气体体积的估计误差为0.21m3,在120s时估计误差缩小至0.15m3,在180s后估计误差几乎为0。表明本文所提自适应观测器在不确定参数给定初值与真实值相差较大时,仍能将不确定参数收敛至真实值。自适应观测器对井筒内气体体积的估计效果良好,估计误差能够保持在很小的区间内并持续缩小至0。
为验证本文气侵早期检测方法应用于实际工况的有效性,选用声波法、出入口流量差法和总池体积法进行对比实验。

图 6 四种气侵早期检测方法的检验统计量对比
对比其他三种方法的检验统计量变化显著程度,该方法远大于其他检测方法,可有效避免误报警。此外,为充分说明本文气侵早期检测方法的有效性,对比分析了不同气侵程度下四种检测方法的气侵检测时间。

图 7 四种气侵早期检测方法的检测时间对比
对比分析可知,特别在气侵程度较小的情况下,本文气侵早期检测方法相较于声波法、出入口流量差法和总池体积法表现出更好的诊断性能,能够及时且灵敏地检测出气侵。
(1)基于“双形”气泡表示方法建立了简化气液两相流模型,通过与OLGA仿真数据对比,验证了该模型在复杂度适中的情况下能保证良好的计算精度。
(2)设计了一种基于观测器匹配条件的自适应观测器,用于实时估计井下气侵工况的不确定参数(气藏产能指数及气体密度)与未知状态(气体体积),在此基础上结合霍特林的T2检验统计构建气侵检测方法。
(3)仿真结果表明,当气侵正在发生时,本文所设计的自适应观测器能够实时估计侵入井筒的气体体积并准确跟踪井底压力和出口流量的变化。基于该自适应观测器的气侵早期检测方法相较于声波法、出入口流量差法和总池体积法,可以在不同气侵程度下快速且显著地检测出气侵,能够为抑制气侵赢得宝贵时间。
徐宝昌,副教授
博士生导师/硕士生导师。长期从事复杂系统的建模与先进控制;钻井过程自动控制技术;井下信号的测量与处理;多传感器信息融合与软测量技术等方面的研究工作。现为中国石油学会会员,中国化工学会信息技术应用专业委员会委员。曾参与多项国家级、省部级科研课题的科研工作,并在国内外核心刊物发表了论文70余篇;其中被SCI、EI、ISTP收录30余篇。