
 
 
 
 
 
姓名:廖震
 
导师:陈小宏教授
 
专业:地质资源与地质工程
 
支部:博22党支部
 
研究方向:地球物理勘探,油藏分析,岩石物理建模等
 
我主要做地震资料处理方面的工作,研究海上地震资料的表层多次波与层间多次波压制,以消除地震成像假象,提高地震资料的分辨率。
 
 
 
下图为闭环表层相关多次波压制方法CLSRME处理pluto数据的单炮记录,图a为原始单炮记录,可以看到整体炮集上多次波与一次波互相干涉,在时间域较难分离,严重影响了有效信号的显示。pluto数据经过CLSRME处理后,可以看到图a中2.7s、3.3s、3.7s以及4.3s处的表层多次波被压制,得到一次波预估结果如图b所示,而且相应的多次波结果也能被准确预测。
 
 
 
 

 
 
(a)原始数据记录 (b)预估的一次波结果 (c)压制掉的多次波
 
 
 
 
 
 
 

 
 
姓名:陈桂
 
导师:刘洋教授
 
专业:地质资源与地质工程
 
支部:博22党支部
 
研究方向:机器学习在地震信号处理、资料解释中的应用
 
我个人认为,相比于本科的课程学习,科研工作要求创新,更具挑战性且较枯燥。作为博士生,我主要还是偏向于编程,探索利用机器学习来解决一些地震学问题。也许这样的科研生活是漫长且重复的,但请相信,厚积薄发,量变才能导致质变,表面的光鲜源于背后的努力。
 
 
 
下图展示了我本科期间做的一项基于监督深度学习的地震断层自动解释工作。利用三维合成地震数据与其对应的断层标签数据来训练三维深度卷积神经网络,训练好的模型被迁移应用于实际数据,将三维实际数据输入训练好的模型,模型能够输出对应的断层概率数据(值域为[0, 1])。这项工作有效地提升了断层解释效率,降低了人工成本。
 
 

 
 
 
 
 

 
 
姓名:孙红日
 
导师:张峰教授
 
专业:地球物理学
 
支部:博22党支部
 
研究方向:纵横波联合地震勘探
 
地震波(弹性波)分为纵波与横波两种,纵波质点位移的方向与波的传播方向平行,横波的质点位移方向与波的传播方向垂直。目前,通用的地震勘探方法采集的是纵波信号,而地震横波勘探则采集横波信号。在松散地层中横波速度比纵波速度要低得多,因此横波勘探精度往往大于纵波;横波对地层的横波速度、密度、各向异性等比纵波更为敏感,在描述油气藏的骨架性质、物性特征、裂缝、地应力等方面具有优势;另外横波受流体的影响小于纵波,对松散地层勘探十分有利。因此将地震横波引入油气勘探能够弥补纵波的不足,而且综合利用弹性波(纵波和横波)的波场数据能够提升储层预测精度和油气识别能力。
 
 
 
下图是中国西部柴达木盆地东部采集低频震源和横波震源联合激发的高品质九分量二维地震数据集,图1显示了垂直可控震源和水平可控震源的炮道集之间的比较。在气层中没有明显的有效纵波信号,有效波能量快速衰减,散射干扰严重。横波的有效信号强,能量衰减慢,噪声弱,S/N比高,具有高分辨率,不易受含气影响,在含气区域的构造成像方面具有优势。
 

 
图 1 垂直可控震源的炮集: (a) Z分量, (b) X分量, (c) Y分量. 水平可控震源的炮集: (d) Z分量, (e) X分量, (f) Y分量.
 
 

 
 
 

 
姓名:张卓
 
导师:张峰教授
 
专业:地质资源与地质工程
 
支部:博22党支部
 
研究方向:岩石物理和多波地震各向异性
 
研究生生活即将一年,从最初对研究生生活的好奇和向往,到现在研究生生涯已走过一段时间,总结自己的研究生生活,不得不感叹时光飞逝。研究生学习不同于本科学习,作为培养高级专业人才的研究生教育,关乎国家的未来,也对接受这种教育的个人一生的发展至为关键。研究生阶段的学习是一个将理论学习转化为实践的过程,其表现即为对科研的重视,脚踏实地,将学习和科研二者紧密结合。科研作为研究生阶段的一项重要活动,切忌浮躁,眼高手低。研究生学习中还应该做到的是 “厚积薄发”。这一点非常重要,搞科研是需要时间的,只看几篇文献或一两本著作就想写成文章来发表是不可能的。科研是一项极为严谨的活动,需要科学合理的方法。掌握了正确的学习方法,就可以达到事半功倍的效果:
 
 
 
 
 
 

 
 
下面是近期做的一个数值模拟,用来验证有限差分波场模拟过程中,紧致差分格式模拟在与常规差分格式模拟结果相同时,计算量和存储量减少,计算效率提高。
 
 

 
 
 
 
 

 
 
 
姓名:苗发维
 
导师:贺艳晓教授
 
专业:地质资源与地质工程
 
支部:博22党支部
 
研究方向:岩石物理实验、岩石物理理论研究以及储层预测方面
 
早上点一份禾苑的包子成为开始一天科研生活的必备操作,踏进地质楼的大门,按下五层的电梯按钮,进入509办公室就开始了自己的科研生活。在文献中寻找有用信息,在翻译整理资料中理清自己的研究思路,在代码和算法之间形成自己的文章,在不断锤炼自己的过程中得到成长,也许这就是科研人,用理论武装自己,用行动找到更好的自己。夜晚的星空很美,当按下一楼的电梯按钮,走出地质楼的大门,一天的时光从指尖溜走,得到的是自己的成长。当月光拉长自己的影子,一个背影走在去往阳光宿舍的路上,如果用一个词去奔赴我的未来,我会毫不犹豫地选择“奋斗”二字。
 
 
 
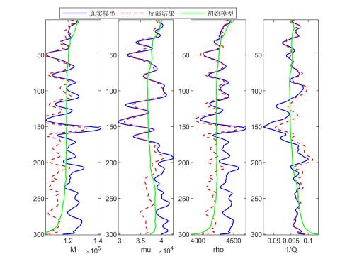
下图为我近期的科研工作,是对于不同裂缝密度下的裂缝方位预测,右图为弹性模量、拉梅系数、密度和品质因子反演结果。上述参数为刻画储层、圈定含油气有利区提供数据支撑。
 
 

 
 
 

 
 
裂缝参数和储层参数反演结果
 
 
 
姓名:彭雅靖
 
导师:周辉教授
 
专业:地质资源与地质工程
 
支部:博22党支部
 
研究方向:全波形反演
 
作为一名博士生,我的研究任务是通过反射波反演来了解地下的物质分布和性质。在研究过程中,我积极参与学术交流和合作,与其他课题组和学者一起分享和探讨各自的研究成果和经验。通过这些交流和合作,我得到了很多宝贵的建议和指导,并且也为我的研究提供了新的思路和视角。在未来的研究中,我将继续深入研究全波形反演的理论和方法,并尝试将反射波反演应用到更广泛的领域,为地球科学的研究做出更大的贡献。
 
 

 
 
传统的FWI主要通过使用回折波更新更新背景速度场,然而当传统的FWI应用于地球深层结构唯一信息来源的反射数据集时,反演会表现出更强的非线性,使得反演结果并不理想。为了克服这一局限性,可以将波动方程传输走时反演 (WTI)扩展到波动方程反射走时反演 (WRTI)。
 
 
